OUR ADVANTAGES
Детальная аналитика
Мы готовим детальную аналитику и декомпозицию задач во время Discovery-фазы.
На этом этапе будет сформирована оценка сроков и бюджета проекта, спланированны последовательность внедрения результатов.
Наши преимущества:
Результаты наивысшего качества
Мы разрабатываем и проверяем приложение автоматическими и ручными средствами.
Мы предоставляем ежедневные статусы выполнения работ и демонстрируем результаты каждые две недели, чтоб всегда оставаться в одном контексте.
В срок и в рамках бюджета
Мы гарантируем согласованные результаты в срок и в рамках бюджета.
Мы предоставляем 6 месяцев бесплатной гарантии на все наши результаты.

О нас
Команда Pro Active
Мы долгое время работали вместе над сложным корпоративным проектом онлайн банкинга, включающим мобильные приложения, веб-банкинг и веб-панель администратора. После того, как проект достиг стадии поддержки, мы сохранили самых эффективных, опытных и увлеченных разработчиков, аналитиков и тестировщиков, чтоб и в дальнейшем предоставлять нашим будущим клиентам такие же качественные результаты.
Итак, если вы ищете:
✔️ привлекательные и содержительные дизайны
✔️ детальную аналитику
✔️ команду, предлагающую подходящие решения
✔️ команду, с прозрачными статусом и процессами
✔️ гарантию результата и 100% покрытие тестами
✔️ безопасную и продуктивную эксплуатацию продукта
Оставьте запрос на email или позвоните нам, чтобы начать наше знакомство
Что мы предлагаем
Полный цикл разработки веб- или мобильных приложений,
внедрение AI или отдельные этапы
1
Discovery-фаза
Мы собираем все Ваши идеи в единый документ с подробным описанием. Вместе с Вами мы обсуждаем их и готовим предложения по дискуссионным моментам. Мы предлагаем этапы реализации, а так же оцениваем сроки и бюджет.
2
Детальная аналитика
Мы углубляемся в каждую деталь Вашего проекта и готовим описания «epic -> story -> task». Все требования к разработке обрабатываются на этом этапе.
3
Подготовка дизайнов
Наша команда UX/UI-дизайнеров готовит дизайны всех экранов приложения. Все дизайны собраные в user-story, согласовываются с Вами.
Последние правки вносятся перед началом разработки.
4
Веб/мобильная/бэкенд-разработка
Наша команда разработчиков воплощает Ваши идеи в жизнь, стори за стори. Также на этом этапе разрабатываются схемы архитектуры и описания API. Для ключевых решений организовываются встречи по обсуждению архитектуры, с целью достижения максимального понимания направлений развития проекта.
5
Тестирование
Тесты пишут только те, кто сомневается в своём коде
…шутка…
Несмотря на то, что код уже покрыт тестами команды разработчиков, мы проводим функциональное тестирование и готовим скрипты автоматизированного тестирования, чтобы быть уверенными в том, что всё в порядке сейчас и на каждой следующей итерации.
6
DevOps поддержка
Наша команда DevOps доставляет Ваше приложение в любую желаемую среду. Или мы предоставим все инструкции о том, где и как Вы можете запустить приложение, управлять внешними конфигурациями и т.д.
Мы предоставляем полную бесплатную 6-месячную гарантию на все наши результаты.
С чего начать
…путь в тысячу миль начинается с первого шага
Если у Вас есть сомнения — давайте начнем с небольшой задачи:
полезной и ценной для Вас и быстрой для нас

Discovery-фаза
Давайте вместе погрузимся в Ваши идеи и проверим их с разных точек зрения? В результате Discovery-фазы
у Вас будет строгий документ с картой пользовательских путей, описаниями разделов приложения, требованиями к разработке, шаблонами дизайна, требованиями к оборудованию и п.р.
От $2000, 3+ недель

Технический аудит
Разрешите нам взглянуть на Вашу внутреннюю «кухню»: правда ли всё соответствует ожиданиям? Всё ли отлично с безопасностью? С защитой и резервированием данных? Возможно, приложение развивается так медленно из-за неправильных базовых шаблонов? Свежий и независимый взгляд может привести к неожиданным открытиям.
От $2000, 2+ недель

Penetration & Auto Tests
Вы когда-нибудь видели, как мошенники могут проникнуть в Ваш аккаунт? Позвольте нам проверить возможно ли это вообще?
Наша команда тестирования подготовит подробный план того, какая часть, как и в какие сроки будет покрыта автоматизированными тестами, чтобы гарантировать безопасность каждой последующей поставки.
От $1500, 2+ недель

DevOps-аудит
Давайте проверим, нет ли пробелов в Вашей сетевой инфраструктуре? Или, возможно, у вас уже есть вопросы о миграции в облако? Почему масштабирование Вашего приложения создаёт дополнительную нагрузку? Чтобы ответить на эти вопросы, мы проведём DevOps-аудит и составим письменные выводы о том, что и как можно улучшить с точки зрения инфраструктуры.
От $1000, 1+ недель
Портфолио
…весь наш опыт, для подкрепления Ваших результатов
Fantastitch — мобильное приложение для вышивки (Польша)
Fantastitch – мобильное приложение позволяет вышивальщицам загружать свои схемы вышивания или вышивать бесплатные. Вышивайте каждый день с отслеживанием прогресса. Приглашайте друзей, запрашивайте доступ к цифровым схемам вышивки (по ранее купленным офлайн), а также к купленным схемам сторонних дизайнеров или брендов. Разработаны мобильные приложения для iOS и Android. Веб-приложение предназначено для нужд брендов/дизайнеров и администраторов. Добавлена функция машинного зрения, которая предотвращает загрузку схем, нарушающих авторские права, пользователем или дизайнером.
Административная панель для управления образениями клиентов (США)
Группа веб-приложений собирает запросы пользователей в единую административную панель, что дает возможность работать с заявками, обновлять их после контакта с пользователем, и т.д. Админ.приложение формирует отчёты для отслеживания активности как пользователей, так и колл-центра.
Мобильный и веб-банкинг (Украина)
Мы разработали цифровой банкинг для одного из крупнейших украинских банков. Пользователям были предоставлены все ежедневные банковские операции: все виды переводов (p2p, коммунальные), кредиты и депозиты, виртуальные карты, онлайн регистрация/онбординг пользователей, идентификация клиента, получение документов с гос.реестров и т. д.
Проект состоит из мобильных приложений (для iOS, Android, Huawei) и веб-части для доступа пользователей, а также веб-панели администратора для внутреннего администрирования. Вся работа пользовательских приложений были организованы на базе общего бэкенда: более 50 микросервисов Java/Kotlin и SpringBoot. Разработано 2 варианта инфраструктурных решений — on premis (на серверах банка), так и с использованием AWS. Для упрощения пользовательских процессов добавлена интеграция с AI.
Система управления производством (ERP) в Агро (Украина)
Для нашего клиента — одного из крупнейших агрохолдингов Украины — мы разработали внутреннюю систему планирования ресурсов для планирования, проверки фактических результатов, сопоставления нарушений и т.д., охватывающую весь агропромышленный цикл. Мы обеспечили возможность работы с картами и полями, интеграцию с внутренними системами, интеграцию с картами улиц для измерения расстояния между точками на карте и т.д.
Веб-панель управления (Польша)
Мы разработали многофункциональную веб-панель управления для организации торговой площадки для дизайнеров вышивальщиц, брендов и вышивальщиц, которые исследовали мобильное приложение. Пользователи панели управления могут предлагать свои проекты клиентам, отслеживать их активность, делиться предложениями на других торговых площадках (Etsy, Amazon и т. д.) с помощью QR-кода или напрямую зарегистрированному пользователю (по электронной почте/с помощью логина). Ежедневный отчёт об активности отправляется менеджерам, чтобы они были в курсе текущего состояния. Многоролевой процесс авторизации разработан на основе Java Backend (фреймворк Spring Boot) и фреймворка авторизации Oauth2.0.
Генерация изображений для общего доступа к прогрессу (Польша)
Пользователям мобильных приложений мы предоставляем возможность делиться своим текущим прогрессом или выбранными этапами. На бэкенде Java мы храним фотографии в Hetzner, генерируем HTML-шаблон и используем Selenium для визуализации конечного результата в виде изображения. Это позволяет пользователям легко делиться своими достижениями в мессенджерах, Facebook, Instagram и других платформах.
Ежедневная отправка email-отчётов по ключевым метрикам (Польша)
Для ежедневного мониторинга ключевых показателей мы создали набор диаграмм, скомпилировали их в один PDF-файл и настроили запланированное фоновое задание для автоматической отправки отчёта руководителям высшего звена и членам совета директоров.
Отчёт состоит из 11 страниц, 19 диаграмм и охватывает все аспекты взаимодействия пользователей с приложениями.
На базе LLM и AI мы разработали алгоритмы прогнозирования потребности в производстве отдельных экземпляров наборов для вышивания, которые используются для управленческих решений по загрузке производства и направлены на повышение маржинальности производства и сокращение складских остатков.
Fantastitch — кейс Computer Vision (Польша)
Возникла проблема, связанная с тем, что пользователи и дизайнеры могли загружать схемы вышивки, на которые у них не было прав («украденные» схемы). Целью было прервать такую загрузку, отследить пользователя, который это сделал, и впоследствии заблокировать его/ее в случае повторения подобных случаев. Мы разработали механизм, основанный на машинном зрении и современных технологиях искусственного интеллекта, который анализирует загруженный файл схемы (изображение), ищет в режиме онлайн аналогичную схему, загруженную ранее, проверяет различия, вычисляет сходство и прерывает загрузку.
AgencyEZ — SaaS для страховых компаний и агентств (США)
Для нашего клиента SaaS-платформы мы реализовали функцию, которая позволяет пользователям загружать данные в собственном формате (например, во внутреннем отчёте, который они уже используют), автоматически преобразовывать их во внутреннюю структуру данных платформы (с помощью ИИ-агента на базе ChatGPT), а затем полностью анализировать и сохранять всю информацию в базе данных платформы.
Исходные данные могут быть предоставлены в различных форматах — MS Excel, PDF или тестовых файлах.
В результате всего тремя щелчками мыши любой пользователь может загрузить весь свой список клиентов — даже тысячи записей — за 3–5 секунд, в то время как ручная загрузка заняла бы несколько недель и неизбежно привела бы к ошибкам передачи и потере данных.
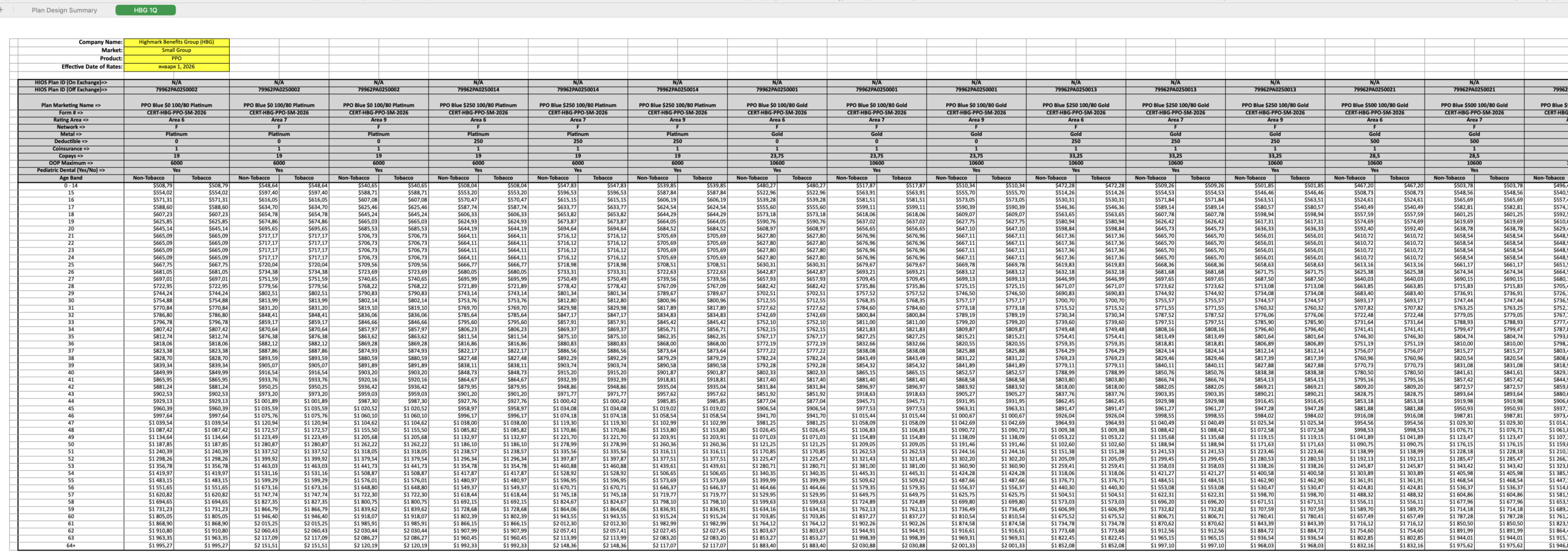
Или загрузка предложений по обязательному медицинскому страхованию (ACA insurance), которые могут содержать десятки тысяч отдельных страховых премий под различные условия страхования (возрастные группы, вредные привычки, регионы проживания и т. п.), может быть выполнена в систему всего за несколько кликов без какой-либо потери данных. Для контроля итоговых результатов созданы отдельные аудиторские отчёты для проверки загруженных данных.

Система отчётности бухгалтеров (Украина)
Для нашего клиента, SaaS-провайдера бизнес-решений, мы разработали веб-приложение — систему отчётности для бухгалтеров, которая позволяет им отслеживать хозяйственную деятельность компании, составлять ежедневные/еженедельные/периодические отчёты, готовить чеки и отправлять отчёты в налоговую службу.
Спустя много лет в разработке
программных продуктов
наша миссия стала ясна:
предоставлять нашим
клиентам исключительное
качество и способствовать
их росту в проактивной и
всесторонне поддерживающей
среде.
CEO, CTO: Роман Неило

Свяжитесь с нами
У вас есть невероятная бизнес-идея?
Не теряйте времени: позвоните или напишите нам, и мы сделаем все возможное, чтобы помочь вам воплотить ее в цифровом формате.











































